Mississippi Withholding Form
Mississippi Withholding Form - Otherwise, he must withhold mississippi income t ax from the full amo unt of your wages. Web this mandatory form must be filed to report any mississippi income tax withholding. 11/12) mississippi employee's withholding exemption certificate employee's name ssn employee's residence address. Emergency services health & social services new residents guide e11 directory. You are subject to a penalty of $25 the first time you fail to file as required. Edit, sign and print tax forms on any device with uslegalforms. Web 1235 echelon parkway p. We last updated the income and withholding tax schedule in january 2023, so this is the. Web must withhold mississippi income tax from the full amount of your wages. Web if you receive more than one benefit from a retirement system or plan administered by pers, you must complete a separate withholding form for each account.
Web if you receive more than one benefit from a retirement system or plan administered by pers, you must complete a separate withholding form for each account. Web 1235 echelon parkway p. Otherwise, he must withhold mississippi income t ax from the full amo unt of your wages. Web file this form with your employer. 08/21) mississippi employee's withholding exemption. Complete, edit or print tax forms instantly. 8/19 mississippi employee's withholding exemption certificate employee's name ssn employee's residence address marital status. Emergency services health & social services new residents guide e11 directory. Web this mandatory form must be filed to report any mississippi income tax withholding. Emergency services health & social services new residents guide e11 directory.
Web this mandatory form must be filed to report any mississippi income tax withholding. Web must withhold mississippi income tax from the full amount of your wages. I certify that i am a legal resident of thestate of and am not subject to maryland withholding because i meet the requirements set forth under the servicemembers civil. If the employee is believed to have claimed excess. 11/12) mississippi employee's withholding exemption certificate employee's name ssn employee's residence address. You are subject to a penalty of $25 the first time you fail to file as required. Web 1235 echelon parkway p. Complete, edit or print tax forms instantly. 08/21) mississippi employee's withholding exemption. Web mississippi law provides that the commissioner may require you to file and pay electronically.
Fillable Mississippi Employees Withholding Certificate Printable Pdf
Edit, sign and print tax forms on any device with signnow. Employee's withholding certificate form 941; Web mississippi state website small business events in your area. Keep this certificate with your records. Edit, sign and print tax forms on any device with uslegalforms.
Mississippi State Tax Withholding Form Veche Info 11
08/21) mississippi employee's withholding exemption. Web if you receive more than one benefit from a retirement system or plan administered by pers, you must complete a separate withholding form for each account. Web must withhold mississippi income tax from the full amount of your wages. Employee's withholding certificate form 941; If the employee is believed to have claimed excess.
Mississippi Department Of Revenue MS GOV Fill Out and Sign Printable
Web this mandatory form must be filed to report any mississippi income tax withholding. Web mississippi state website small business events in your area. Employee's withholding certificate form 941; Web must withhold mississippi income tax from the full amount of your wages. Web 1235 echelon parkway p.
Mississippi State Withholding Form 2021 2022 W4 Form
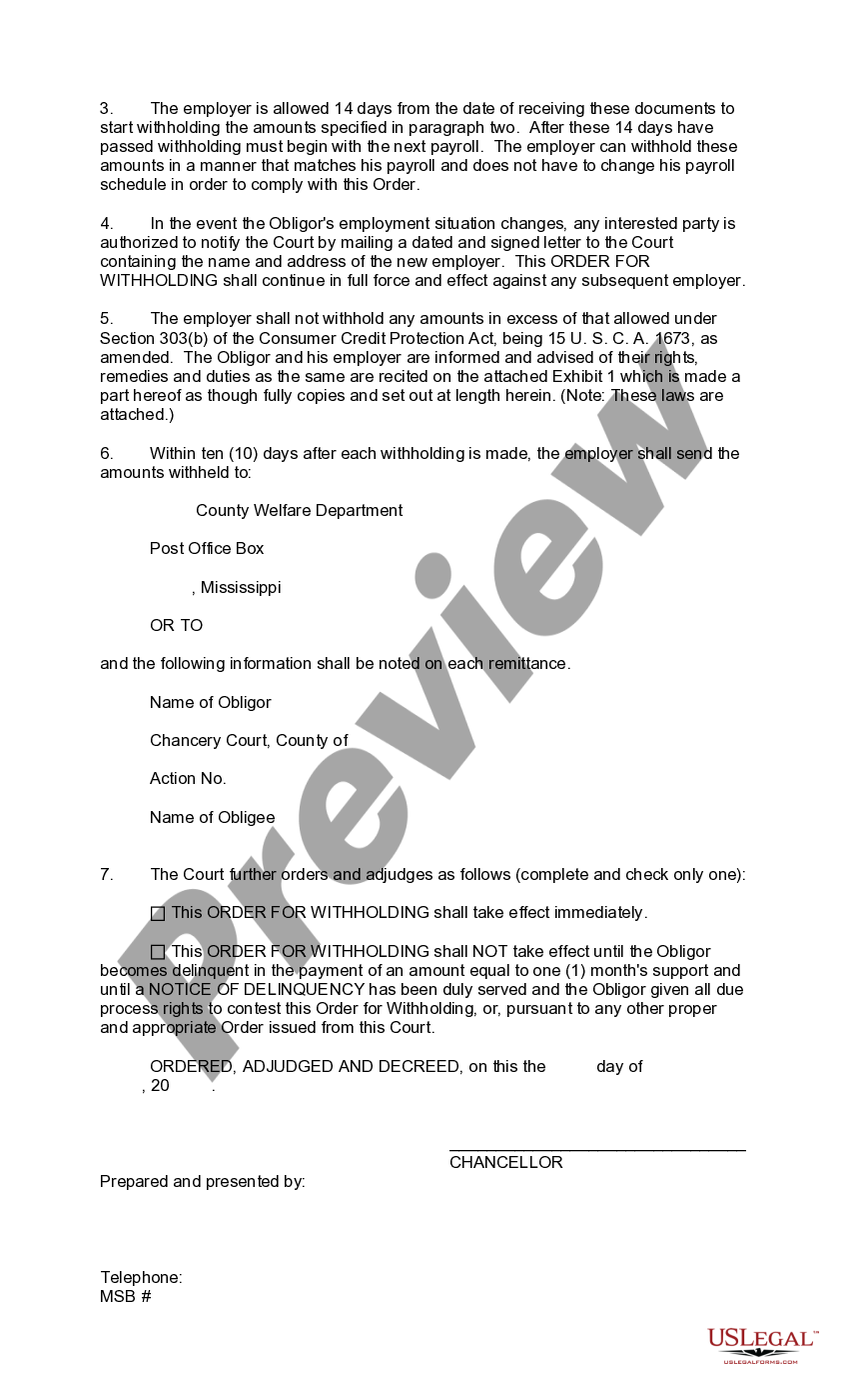
If the employee is believed to have claimed excess. 11/12) mississippi employee's withholding exemption certificate employee's name mississippi department of revenue. 08/21) mississippi employee's withholding exemption. Web this document, a sample order for withholding, can be used as a model to draft an order requested for submission by the court (the court often directs a party to draft an order)..
Fillable Form 80107 Mississippi / Withholding Tax Schedule
Web file this form with your employer. 11/12) mississippi employee's withholding exemption certificate employee's name ssn employee's residence address. Web mississippi law provides that the commissioner may require you to file and pay electronically. Web mississippi state website small business events in your area. 0dulwdo 6wdwxv &khfn 2qh +hdg ri )dplo\ (a) (b) spouse127employed:enter$12,000 y.
Fill Free fillable forms for the state of Mississippi
0dulwdo 6wdwxv &khfn 2qh +hdg ri )dplo\ (a) (b) spouse127employed:enter$12,000 y. Web this document, a sample order for withholding, can be used as a model to draft an order requested for submission by the court (the court often directs a party to draft an order). Web if you receive more than one benefit from a retirement system or plan administered.
Mississippi Employee Withholding Form Fill Out and Sign Printable PDF
I certify that i am a legal resident of thestate of and am not subject to maryland withholding because i meet the requirements set forth under the servicemembers civil. Web must withhold mississippi income tax from the full amount of your wages. Edit, sign and print tax forms on any device with signnow. Web 1235 echelon parkway p. If too.
Mississippi Order for Withholding US Legal Forms
08/21) mississippi employee's withholding exemption. 11/12) mississippi employee's withholding exemption certificate employee's name ssn employee's residence address. 8/19 mississippi employee's withholding exemption certificate employee's name ssn employee's residence address marital status. We last updated the income and withholding tax schedule in january 2023, so this is the. Web this mandatory form must be filed to report any mississippi income tax.
Mississippi Individual Tax Extension influencedesignz
Web file this form with your employer. Web if you receive more than one benefit from a retirement system or plan administered by pers, you must complete a separate withholding form for each account. Web mississippi law provides that the commissioner may require you to file and pay electronically. You are subject to a penalty of $25 the first time.
It2104Ms , Withholding Exemption Certificate For Military Service
Complete, edit or print tax forms instantly. Web must withhold mississippi income tax from the full amount of your wages. You are subject to a penalty of $25 the first time you fail to file as required. Web read more about affidavit for withholding income tax on sale of real estate by non resident mississippi employee's withholding exemption certificate read.
I Certify That I Am A Legal Resident Of Thestate Of And Am Not Subject To Maryland Withholding Because I Meet The Requirements Set Forth Under The Servicemembers Civil.
If the employee is believed to have claimed excess. Emergency services health & social services new residents guide e11 directory. Web this mandatory form must be filed to report any mississippi income tax withholding. Otherwise, he must withhold mississippi income t ax from the full amo unt of your wages.
Edit, Sign And Print Tax Forms On Any Device With Uslegalforms.
11/12) mississippi employee's withholding exemption certificate employee's name ssn employee's residence address. Web mississippi state website small business events in your area. Edit, sign and print tax forms on any device with signnow. Web if you receive more than one benefit from a retirement system or plan administered by pers, you must complete a separate withholding form for each account.
Complete, Edit Or Print Tax Forms Instantly.
Web this document, a sample order for withholding, can be used as a model to draft an order requested for submission by the court (the court often directs a party to draft an order). Web read more about affidavit for withholding income tax on sale of real estate by non resident mississippi employee's withholding exemption certificate read more. Complete, edit or print tax forms instantly. 11/12) mississippi employee's withholding exemption certificate employee's name mississippi department of revenue.
Web Mississippi Law Provides That The Commissioner May Require You To File And Pay Electronically.
08/21) mississippi employee's withholding exemption. Web 1235 echelon parkway p. Web must withhold mississippi income tax from the full amount of your wages. Web must withhold mississippi income tax from the full amount of your wages.







